Millipore Sigma Vibrant Logo

354103 Glutathione Assay Kit II

354103
View Pricing & Availability

Overview

Replacement Information

Key Spec Table

Detection Methods
Colorimetric

Pricing & Availability

Catalogue Number AvailabilityPackaging Qty/Pack Price Quantity
354103-1KIT
Retrieving availability...
Fulfillment and delivery delayed
Fulfillment and delivery delayed
In Stock 
Discontinued
Limited Quantities Available
Availability to be confirmed
    Remaining : Will advise
      Remaining : Will advise
      Will advise
      Contact Customer Service
      Contact Customer Service

      Glass bottle 1 kit
      Retrieving price...
      Price could not be retrieved
      Minimum Quantity is a multiple of
      Maximum Quantity is
      Upon Order Completion More Information
      You Saved ()
       
      Request Pricing
      Description
      OverviewA sensitive and convenient colorimetric (414 or 405 nm) assay kit for the measurement of glutathione from plasma, serum, erythrocyte lysate, tissue samples, and cultured cells. Dynamic range: 0 - 16 µM for GSH or 0 - 8 µM for GSSG. For plasma and serum samples concentration and deproteination are required.
      Catalogue Number354103
      Brand Family Calbiochem®
      Application Data


      Materials Required but Not Delivered A plate reader with a 414 or 405 nm filter.
      An adjustable pipettor, repeat pipettor, and an eight-channel pipettor (optional).
      A source of pure water. Glass distilled water or HPLC-grade water is acceptable.
      Metaphosphoric acid and triethanolamine (described in Recommended procedure for deproteination of samples).
      2-vinylpyridine (optional, described in Sample preparation for exclusive measurement of GSSG).
      References
      ReferencesFoyer, C.H., et al. 1994. Physiol. Plant. 92, 696.
      Baillie, T.A. and Slatter, J.G. 1991. Acc. Chem. Res. 24, 264.
      Baker, M.A., et al. 1990. Anal. Biochem. 190, 360.
      Inoue, M., et al. 1987. Journal of Protein Chemistry 6, 207.
      Eyer, P. and Podhradsky, D. 1986. Anal. Biochem. 153, 57.
      Inoue, M. 1985. in Renal Biochemistry. Kinne, R.K.H. editor. Elsevier Science Publishers B.V. London, 225.
      Lash, L.H. and Jones, D.P. 1985. Arch. Biochem. Biophys. 240, 583.
      Griffith, O.W. 1980. Anal. Biochem. 106, 207.
      Wendel, A. and Cikryt, P. 1980. FEBS Lett. 120, 209.
      Glutathione: Metabolism and function, Arias, I.M. and Jakoby, W.B. 1976. editors. Raven Press, New York.
      Tietze, F. 1969. Anal. Biochem. 27, 502.
      Product Information
      Detection methodColorimetric
      Form96 Tests
      Format96-well plate
      Kit contains2X MES Buffer, GSSG Standard, Cofactor Mixture, Enzyme Mixture, DTNB, 96-Well Plate, Plate Cover, and a user protocol. Assay requires Metaphosphoric Acid and Triethanolamine to be supplied by the user.
      Positive controlGSSG
      Quality LevelMQ100
      Applications
      Biological Information
      Assay range 0 - 16 µM for GSH or 0 - 8 µM for GSSG
      Assay time3 h
      Sample TypePlasma, serum, erythrocyte lysate, tissue samples, and cultured cells
      Physicochemical Information
      Dimensions
      Materials Information
      Toxicological Information
      Safety Information according to GHS
      Safety Information
      Product Usage Statements
      Storage and Shipping Information
      Ship Code Blue Ice Only
      Toxicity Standard Handling
      Storage +2°C to +8°C
      Storage ConditionsUpon arrival store entire kit contents at 4°C.
      Avoid freeze/thaw Avoid freeze/thaw
      Do not freeze Ok to freeze
      Packaging Information
      Transport Information
      Supplemental Information
      Kit contains2X MES Buffer, GSSG Standard, Cofactor Mixture, Enzyme Mixture, DTNB, 96-Well Plate, Plate Cover, and a user protocol. Assay requires Metaphosphoric Acid and Triethanolamine to be supplied by the user.
      Specifications
      Global Trade Item Number
      Catalogue Number GTIN
      354103-1KIT 04055977193282

      Documentation

      Glutathione Assay Kit II SDS

      Title

      Safety Data Sheet (SDS) 

      Glutathione Assay Kit II Certificates of Analysis

      TitleLot Number
      354103

      References

      Reference overview
      Foyer, C.H., et al. 1994. Physiol. Plant. 92, 696.
      Baillie, T.A. and Slatter, J.G. 1991. Acc. Chem. Res. 24, 264.
      Baker, M.A., et al. 1990. Anal. Biochem. 190, 360.
      Inoue, M., et al. 1987. Journal of Protein Chemistry 6, 207.
      Eyer, P. and Podhradsky, D. 1986. Anal. Biochem. 153, 57.
      Inoue, M. 1985. in Renal Biochemistry. Kinne, R.K.H. editor. Elsevier Science Publishers B.V. London, 225.
      Lash, L.H. and Jones, D.P. 1985. Arch. Biochem. Biophys. 240, 583.
      Griffith, O.W. 1980. Anal. Biochem. 106, 207.
      Wendel, A. and Cikryt, P. 1980. FEBS Lett. 120, 209.
      Glutathione: Metabolism and function, Arias, I.M. and Jakoby, W.B. 1976. editors. Raven Press, New York.
      Tietze, F. 1969. Anal. Biochem. 27, 502.

      Brochure

      Title
      Kit SourceBook - 2nd Edition EURO
      User Protocol

      Revision18-August-2010 RFH
      Form96 Tests
      Format96-well plate
      Detection methodColorimetric
      StorageUpon arrival store entire kit contents at 4°C.
      BackgroundGlutathione (GSH) is a tripeptide (γ-glutamylcysteinylglycine) widely distributed in both plants and animals. GSH serves as a nucleophilic co-substrate to glutathione transferases in the detoxification of xenobiotics and is an essential electron donor to glutathione peroxidases in the reduction of hydroperoxides. GSH is also involved in amino acid transport and maintenance of protein sulfhydryl reduction status. Concentration of GSH ranges from a few micromolar in plasma to several millimolar in tissues such as liver.
      Principles of the assayThe Calbiochem® GSH Assay Kit II utilizes a carefully optimized enzymatic recycling method, using glutathione reductase, for the quantification of GSH (see Figure 1). The sulfhydryl group of GSH reacts with DTNB (5,5'-dithiobis-2-nitrobenzoic acid, Ellman's reagent) and produces a yellow-colored 5-thio-2-nitrobenzoic acid (TNB). The mixed disulfide, GSTNB (between GSH and TNB) that is concomitantly produced, is reduced by glutathione reductase to recycle the GSH and produce more TNB. The rate of TNB production is directly proportional to this recycling reaction, which is, in turn, directly proportional to the concentration of GSH in the sample. Measurement of the absorbance of TNB at 405 or 414 nm provides an accurate estimation of GSH in the sample. GSH is easily oxidized to the disulfide dimer GSSG. GSSG is produced during the reduction of hydroperoxides by glutathione peroxidase. GSSG is reduced to GSH by glutathione reductase and it is the reduced form that exists mainly in biological systems. Because of the use of glutathione reductase in the Calbiochem® GSH assay kit, both GSH and GSSG are measured and the assay reflects total glutathione. The kit can also be used to measure only GSSG by following the protocol given on page 6. GSH measurement can be done in plasma, serum, erythrocyte lysates, tissue samples, and cultured cells using this kit. However, plasma and serum samples will have to be concentrated before assaying, and nearly all samples will require deproteination (see page 6 for more details).
      Materials provided• MES Buffer (2X) (Kit Component No. KP31610): 1 vial
      • GSSG Standard (Kit Component No. KP31611): 1 vial
      • Cofactor Mixture (Kit Component No. KP31612): 1 vial
      • Enzyme Mixture (Kit Component No. KP31613): 1 vial
      • DTNB (Kit Component No. KP31614): 4 vials
      • 96 Well Plate (Kit Component No. KP31615): 1 plate
      • Plate Cover (Kit Component No. KP31616): 1 cover
      Materials Required but not provided A plate reader with a 414 or 405 nm filter.
      An adjustable pipettor, repeat pipettor, and an eight-channel pipettor (optional).
      A source of pure water. Glass distilled water or HPLC-grade water is acceptable.
      Metaphosphoric acid and triethanolamine (described in Recommended procedure for deproteination of samples).
      2-vinylpyridine (optional, described in Sample preparation for exclusive measurement of GSSG).
      Precautions and recommendations Please read these instructions carefully before beginning the assay
      WARNING: This product is not intended or approved for use in humans or veterinary animals. Reliance on this product for analyte measurements in a therapeutic setting is hazardous and may result in illness or injury.
      Pipetting Hints
      a. When pipetting the Assay Cocktail (see below), we recommend an eight-channel pipet be used to save time and maintain more precise times of incubation.
      b. Before pipetting each reagent, equilibrate the pipet tip (i.e., fill the tip and expel the contents
      several times)
      c. Do not expose the pipet tip to the reagent(s) already in the well.
      All reagents must be equilibrated to room temperature before beginning the assay.
      The volume of sample and standards added to the wells is 50 µl and the final volume of the assay is 200 µl in all the wells.
      It is not necessary to use all the wells on the plate at one time. However, a standard curve must be run simultaneously with each set of samples.
      Add TEAM reagent to the deproteinated samples (see deproteination procedure, page 6).
      Use diluted MES Buffer in the assay.
      If the expected concentration of GSH in the sample is not known or if it is expected to be beyond the range of the standard curve, it is prudent to assay the sample at several dilutions.
      It is recommended that the samples and standards be assayed at least in duplicate.
      Prepare the Assay Cocktail (see below) just before its addition to the wells.
      Addition of the Assay Cocktail (see below) to the wells must be done as quickly as possible. The time difference in addition between the first well to the last should not be more than 2 min.
      PreparationCAUTION: Thiol compounds such as mercaptoethanol, dithiothreitol, etc., or thiol-alkylating agents such as N-ethylmaleimide should not be added to the samples at any stage of sample collection or preparation. If the samples contain any of these compounds they are unsuitable for GSH quantification.

      • Tissue Homogenate

      1. Prior to dissection, perfuse tissue with a PBS (phosphate buffered saline) solution, pH 7.4, containing 0.16 mg/ml heparin to remove any red blood cells and clots.
      2. Homogenize the tissue in 5-10 ml of cold buffer (i.e., 50 mM MES or phosphate, pH 6-7, containing 1 mM EDTA) per gram tissue. 3. Centrifuge at 10,000 x g for 15 min at 4°C.
      4. Remove the supernatant and store on ice.
      5. The supernatant will have to be deproteinated before assaying. If not assaying on the same day, the sample will still have to be deproteinated, and then stored at -20°C. The sample will be stable for at least six months.

      • Cell Lysate

      1. Collect cells by centrifugation (i.e., 1,000-2,000 x g for 10 min at 4°C). For adherent cells, do not harvest using proteolytic enzymes; rather use a rubber policeman.
      2. The cell pellet can be homogenized or sonicated in 1-2 ml of cold buffer (i.e., 50 mM MES or phosphate, pH 6-7, containing 1 mM EDTA).
      3. Centrifuge at 10,000 x g for 15 min at 4°C. 4. Remove the supernatant and store on ice. 5. The supernatant will have to be deproteinated before assaying (see below). If not assaying on the same day, the sample will still have to be deproteinated, and then stored at -20°C. The sample will be stable for at least six months.

      • Plasma and Erythrocyte lysate

      1. Collect blood using an anticoagulant such as heparin, citrate, or EDTA.
      2. Centrifuge the blood at 700-1,000 x g for 10 min at 4°C. Pipet off the top yellow plasma layer without disturbing the white buffy layer. Store plasma on ice.
      3. Remove the white buffy layer (leukocytes) and discard.
      4. Lyse the erythrocytes (red blood cells) in 4 times the volume of ice-cold HPLC-grade water.
      5. Centrifuge at 10,000 x g for 15 min at 4°C.
      6. Collect the supernatant (erythrocyte lysate) and store on ice.
      7. The plasma and erythrocyte lysate will have to be deproteinated before assaying (see below). If not assaying on the same day, the samples will still have to be deproteinated, and then stored at -20°C. The samples will be stable for at least six months. [NOTE: Plasma samples contain glutathione levels below the detection limit of the assay and thus can not be measured directly.] Before assaying, add TEAM reagent to the deproteinated plasma sample (see below), concentrate by lyophilization, and then reconstitute the sample with MES Buffer to one third of its original volume. You will only be able to determine the total GSH content. We do not guarantee the accuracy of the GSSG content due to the many manipulations that the plasma sample has endured.

      • Serum

      1. Collect blood without using an anticoagulant such as heparin, citrate, or EDTA. Allow blood to clot for 30 min at 25°C.
      2. Centrifuge the blood at 2,000 x g for 15 min at 4°C. Pipet off the top yellow serum layer without disturbing the white buffy layer. Store serum on ice.
      3. The serum will have to be deproteinated before assaying (see below). If not assaying on the same day, the sample will still have to be deproteinated, and then stored at -20°C. The sample will be stable for at least six months. [NOTE: Serum samples contain glutathione levels below the detection limit of the assay and thus can not be measured directly.] Before assaying, add TEAM reagent to the deproteinated serum sample (see below), concentrate by lyophilization, and then reconstitute the sample with MES Buffer to one third of its original volume. You will only be able to determine the total GSH content. We do not guarantee the accuracy of the GSSG content due to the many manipulations that the serum sample has endured.

      • Recommended procedure for deproteination of samples:

      Almost all biological samples used for GSH measurement contain large amounts of proteins, e.g., erythrocyte lysate, tissue homogenates, etc. It is necessary to remove as much protein as possible from the sample to avoid interferences due to particulates and sulfhydryl groups on proteins in the assay. Samples that are low in protein (<1 mg/ml) and are devoid of particulates can be assayed directly.

      1. MPA reagent: Dissolve 5 g metaphosphoric acid (Aldrich, Cat. No. 43157-5 or 23927-5) in 50 ml water. The MPA solution is stable for 4 h at 25°C.
      2. Add an equal volume of the MPA reagent to the sample and mix it on a vortex mixture. Allow the mixture to stand at room temperature for 5 min and centrifuge at >2000 g for at least 2 min (a microfuge will be sufficient for the centrifugation). Carefully collect the supernatant without disturbing the precipitate. The supernatant can be stored at this stage for long periods of time (up to 6 months) at -20°C without any degradation of GSH or GSSG. Do not add TEAM reagent until you are ready to assay the sample.
      3. TEAM reagent: Prepare a 4 M solution triethanolamine (Aldrich, Cat. No. T5830-0) in water by mixing 531 µl triethanolamine with 469 µl water. The TEAM solution is stable for 4 h at 25°C.
      4. Add 50 µl of TEAM reagent per ml of the supernatant and vortex immediately. The TEAM reagent will increase the pH of the sample. The sample is ready for assay of total GSH (i.e., both oxidized and reduced). Any necessary dilutions of the sample should be done at this stage with MES Buffer.

      • Sample preparation for exclusive measurement of GSSG:

      Quantification of GSSG, exclusive of GSH, is accomplished by first derivatizing GSH with 2-vinylpyridine. This can be achieved as follows:

      1. Prepare a 1 M solution of 2-vinylpyridine (Aldrich Cat. No. 13229-2) in ethanol by mixing 108 µl of 2-vinylpyridine and 892 µl of ethanol. 2. Add 10 µl of the 2-vinylpyridine solution per ml of sample from step 4 above. Mix well on a vortex mixer and incubate at room temperature for about 60 min and assay the sample.* This procedure can derivatize up to 1 mM GSH. More concentrated samples should be diluted with MES Buffer before derivatization.

      * 2-Vinylpyridine inhibits color development in the assay to some extent. Hence, it is essential to prepare the standards also the same way by adding 2-vinylpyridine (i.e., add 5 µl of 2-vinylpyridine solution per tube described below) and incubating to the same length of time as the sample.
      Reagent preparationNote: Some of the kit components are supplied in a lyophilized form and need to be reconstituted prior to use. Follow the directions carefully to ensure proper volumes of water or Assay Buffer are used to reconstitute the vial components.

      1. MES Buffer (2X) - (KP31610): The buffer consists of 0.4 M 2-(N-morpholino)ethanesulphonic acid, 0.1 M phosphate, and 2 mM EDTA, pH 6.0. Dilute the buffer with equal volume of water before use. Hereafter, MES Buffer refers to this diluted buffer.
      2. GSSG Standard - (KP31611): The vial contains 25 µM GSSG in MES buffer. This standard is ready to use as supplied. [NOTE: GSSG is provided as a standard instead of GSH. Under the assay conditions, GSSG is immediately reduced to GSH thereby providing the necessary standard.] The standard is stable for at least 6 months if stored as supplied at 0-4°C.
      3. Cofactor Mixture - (KP31612): The vial contains a lyophilized powder of NADP+ and glucose-6-phosphate. Reconstitute the contents of the vial with 0.5 ml of water and mix well. The reconstituted reagent will be stable for 2 weeks if stored at 0-4°C.
      4. Enzyme Mixture - (KP31613): The vial contains glutathione reductase and glucose-6-phosphate dehydrogenase in 0.2 ml buffer. Carefully open the vial without spilling any liquid from the cap. Add 2 ml of diluted MES Buffer to the vial, replace the cap, and mix well. The reconstituted Enzyme Mixture will be stable for 2 weeks if stored at 0-4°C.
      5. DTNB - (KP31614)*: Each vial contains a lyophilized powder of DTNB (5,5'-dithiobis-2-nitrobenzoic acid, Ellman's reagent). Reconstitute the contents of the vial with 0.5 ml of water and mix well. The reconstituted reagent must be used within 10 min.

      * Reconstitution of this reagent should be done just prior to its addition to the Assay Cocktail. Four vials of this reagent are provided to reconstitute each time the Assay Cocktail is prepared.
      Detailed protocolThere is no specific pattern for using the wells on the plate. A typical layout of standards and samples to be measured in triplicate is given below (see Figure 2, below). We suggest you record the contents of each well on the template sheet provided.


      1. Preparation of the standards: Take eight clean test tubes and mark them A-H. Aliquot the GSSG standard (KP) and MES Buffer to each tube as described in Table 1.

      2. Add 50 µl of standard (tubes A-H) per well in the designated wells on the plate (see suggested plate configuration, Figure 2 above).
      3. Add 50 µl of sample to each of the sample wells.
      4. Cover the plate with the plate cover provided.
      5. Prepare the Assay Cocktail by mixing the following reagents in a 20 ml vial: MES Buffer (11.25 ml), reconstituted Cofactor Mixture (0.45 ml), reconstituted Enzyme Mixture (2.1 ml), water (2.3 ml), and reconstituted DTNB (0.45 ml).
      [NOTE: The volumes of reagents given are for use of the entire plate. Adjust the volumes of the reagents accordingly if only a part of the plate is used.] Prepare fresh Assay Cocktail and run a standard curve each time the assay is performed.
      Use the Assay Cocktail within 10 minutes of preparation.
      6. Remove the plate cover and add 150 µl of the freshly prepared Assay Cocktail to each of the wells containing standards and samples using a multichannel pipet. Replace the plate cover and incubate the plate in the dark on an orbital shaker.
      7. Measure the absorbance in the wells at 405 or 414 nm using a plate reader at 5 min intervals for 30 min (a total of 6 measurements). [NOTE: If only the end point method of calculation (see below) is used, one measurement at 25 min is enough.] Expected absorbance of the lowest standard (standard A) at 405 nm is 0.15 - 0.25 AU and that of the highest standard (standard H) is 0.6 - 0.8 AU in 30 min.]
      CalculationsGSH concentration of the samples can be determined either by the End Point Method or the Kinetic Method. The End Point Method is adequate for most purposes. However, if the levels of cysteine or other thiols in the samples are expected to be significant compared to GSH, the Kinetic Method should be used.

      End Point Method

      1. Calculate the average absorbance from the 25 min measurement for each standard and sample.
      2. Subtract the absorbance value of the standard A from itself and all other values (both standards and samples). This is the corrected absorbance.
      3. Plot the corrected absorbance values (from step 2 above) of each standard as a function of the concentration of GSSG or Total GSH of Table 1 (see Figure 3, below).



      4. Calculate the values of GSSG or Total GSH for each sample from the standard curve.

      [Total GSH] or [GSSG] = {(absorbance at 405 or 414 nm) - (y-intercept)}/slope x 2* x sample dilution

      [*NOTE: If your sample required deproteination, multiply by "2" to account for the addition of MPA Reagent.]

      Kinetic Method

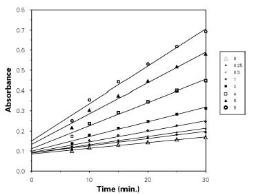
      1. Plot the average absorbance values of each standard and sample as a function of time and determine the slope for each curve (see Figure 4, below). This is called i-slope.



      2. Plot the i-slopes of each standard as a function of the concentration of GSSG or total GSH of Table 1 (see Figure 5, below). The slope of this curve is called f-slope.



      3. Calculate the values of GSSG or total GSH for each sample from their respective slopes using the slope versus GSSG or GSH standard curve.

      [Total GSH] or [GSSG] = {(i-slope for the sample) - (y-intercept)}/f-slope x 2* x sample dilution

      [*NOTE: If your sample required deproteination, multiply by "2" to account for the addition of MPA Reagent.]
      Sensitivity NotesUnder the standardized conditions of the assay described in this booklet, the dynamic range of the kit is 0-16 µM GSH (or 0-8 µM GSSG).
      Assay Range 0 - 16 µM for GSH or 0 - 8 µM for GSSG
      Plate configuration
      Registered TrademarksCalbiochem® is a registered trademark of EMD Chemicals, Inc.
      Interactive Pathways™ is a trademark of EMD Chemicals, Inc.