Select a Size
About This Item
Product Name
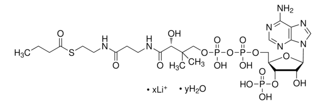
Butyryl coenzyme A lithium salt hydrate, ≥90%
InChI key
FKMUWGIOOMBTED-VLFKLNKMSA-J
SMILES string
[Li+].[Li+].[Li+].[Li+].CCCC(=O)Nc1ncnc2n(cnc12)[C@@H]3O[C@H](COP([O-])(=O)OP([O-])(=O)OCC(C)(C)C(O)C(=O)NCCC(=O)NCCS)[C@@H](OP([O-])([O-])=O)[C@H]3O
InChI
1S/C25H42N7O17P3S.4Li/c1-4-5-16(34)31-21-17-22(29-12-28-21)32(13-30-17)24-18(35)19(48-50(38,39)40)14(47-24)10-45-51(41,42)49-52(43,44)46-11-25(2,3)20(36)23(37)27-7-6-15(33)26-8-9-53;;;;/h12-14,18-20,24,35-36,53H,4-11H2,1-3H3,(H,26,33)(H,27,37)(H,41,42)(H,43,44)(H2,38,39,40)(H,28,29,31,34);;;;/q;4*+1/p-4/t14-,18-,19-,20?,24-;;;;/m1..../s1
biological source
synthetic (Organic)
assay
≥90%
form
powder
solubility
H2O: soluble-50 mg/mL, clear, colorless
storage temp.
−20°C
Quality Level
Related Categories
Application
Biochem/physiol Actions
signalword
Warning
hcodes
Hazard Classifications
Eye Irrit. 2 - Skin Irrit. 2 - STOT SE 3
target_organs
Respiratory system
Storage Class
11 - Combustible Solids
wgk
WGK 3
flash_point_f
Not applicable
flash_point_c
Not applicable
ppe
dust mask type N95 (US), Eyeshields, Gloves
Choose from one of the most recent versions:
Already Own This Product?
Find documentation for the products that you have recently purchased in the Document Library.
Our team of scientists has experience in all areas of research including Life Science, Material Science, Chemical Synthesis, Chromatography, Analytical and many others.
Contact Technical Service