Skip to Content
Merck

485616

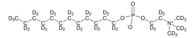
Dodecylphosphorylcholine-d38

98 atom % D

Synonym(s):

Dodecylphosphocholine-d38

Sign In to View Organizational & Contract Pricing.

Select a Size


About This Item

Linear Formula:
[CD3(CD2)11O](O-)P(=O)OCD2CD2N+(CD3)3
CAS Number:
Molecular Weight:
389.70
NACRES:
NA.12
PubChem Substance ID:
UNSPSC Code:
12352211
MDL number:
Isotopic purity:
98 atom % D
Mass shift:
M+38
Form:
solid
Technical Service
Need help? Our team of experienced scientists is here for you.
Let Us Assist
Technical Service
Need help? Our team of experienced scientists is here for you.
Let Us Assist

InChI

1S/C17H38NO4P/c1-5-6-7-8-9-10-11-12-13-14-16-21-23(19,20)22-17-15-18(2,3)4/h5-17H2,1-4H3/i1D3,2D3,3D3,4D3,5D2,6D2,7D2,8D2,9D2,10D2,11D2,12D2,13D2,14D2,15D2,16D2,17D2

SMILES string

[O-]P(OC([2H])(C([N+](C([2H])([2H])[2H])(C([2H])([2H])[2H])C([2H])([2H])[2H])([2H])[2H])[2H])(OC([2H])(C([2H])(C([2H])(C([2H])(C([2H])(C([2H])(C([2H])(C([2H])(C([2H])(C([2H])(C([2H])(C([2H])([2H])[2H])[2H])[2H])[2H])[2H])[2H])[2H])[2H])[2H])[2H])[2H])[2H]

InChI key

QBHFVMDLPTZDOI-DHIOKLJKSA-N

isotopic purity

98 atom % D

form

solid

technique(s)

NMR: suitable, bio NMR: suitable

mp

247-249 °C (lit.)

mass shift

M+38

Quality Level

Storage Class

11 - Combustible Solids

wgk

WGK 3

flash_point_f

Not applicable

flash_point_c

Not applicable


Choose from one of the most recent versions:

Certificates of Analysis (COA)

Lot/Batch Number

Don't see the Right Version?

If you require a particular version, you can look up a specific certificate by the Lot or Batch number.

Already Own This Product?

Find documentation for the products that you have recently purchased in the Document Library.

Visit the Document Library

Niels Geudens et al.
Molecules (Basel, Switzerland), 24(12) (2019-06-20)
Cyclic lipodepsipeptides or CLiPs from Pseudomonas are secondary metabolites that mediate a wide range of biological functions for their producers, and display antimicrobial and anticancer activities. Direct interaction of CLiPs with the cellular membranes is presumed to be essential in
Ruslan Garifullin et al.
European biophysics journal : EBJ, 48(1), 25-34 (2018-08-15)
Chemical modification of therapeutic peptides is an important approach to improving their physicochemical and pharmacokinetic properties. The triphenylphosphonium (TPP) cation has proved to be a powerful modifier; however, its effects on peptide structure and activity remain uncharacterized. In this study
Nelson A Araujo et al.
Archives of biochemistry and biophysics, 698, 108731-108731 (2020-12-29)
Microbial pathogens, such as Trypanosoma brucei, have an enormous impact on global health and economic systems. Protein kinase A of T. brucei is an attractive drug target as it is an essential enzyme which differs significantly from its human homolog.
Soraya Serrano et al.
Biochemistry, 56(41), 5503-5511 (2017-09-21)
Despite extensive characterization of the human immunodeficiency virus type 1 (HIV-1) hydrophobic fusion peptide (FP), the structure-function relationships underlying its extraordinary degree of conservation remain poorly understood. Specifically, the fact that the tandem repeat of the FLGFLG tripeptide is absolutely
Ting-Wei Chang et al.
PloS one, 12(10), e0186442-e0186442 (2017-10-19)
Antimicrobial peptides are important components of the host innate defense mechanism against invading pathogens, especially for drug-resistant bacteria. In addition to bactericidal activity, the 25 residue peptide TP4 isolated from Nile tilapia also stimulates cell proliferation and regulates the innate

Related Content

Our team of scientists has experience in all areas of research including Life Science, Material Science, Chemical Synthesis, Chromatography, Analytical and many others.

Contact Technical Service