Skip to Content
Merck

118415

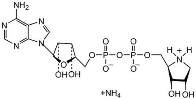
ADP-HPD, Dihydrate, Ammonium Salt

≥95% (HPLC), lyophilized solid, PARG inhibitor, Calbiochem®

Synonym(s):

ADP-HPD, Dihydrate, Ammonium Salt, Adenosine 5ʹ-diphosphate (Hydroxymethyl)pyrrolidinediol, NH4

Sign In to View Organizational & Contract Pricing.

Select a Size


About This Item

Empirical Formula (Hill Notation):
C15H23N6O12P2 · NH4 · 2H2O
Molecular Weight:
595.39
UNSPSC Code:
12352200
NACRES:
NA.77
Technical Service
Need help? Our team of experienced scientists is here for you.
Let Us Assist
Technical Service
Need help? Our team of experienced scientists is here for you.
Let Us Assist

Product Name

ADP-HPD, Dihydrate, Ammonium Salt, ADP-HPD, Dihydrate is an amino analog of ADP-ribose that acts as a highly potent, noncompetitive, and specific inhibitor of poly(ADP-ribose) glycohydrolase (PARG; IC50 = 120 nM).

assay

≥95% (HPLC)

form

lyophilized solid

manufacturer/tradename

Calbiochem®

storage condition

OK to freeze, desiccated (hygroscopic), protect from light

color

white

solubility

water: 5 mg/mL

shipped in

ambient

storage temp.

−20°C

Quality Level

General description

An amino analog of ADP-ribose that acts as a highly potent, noncompetitive, and specific inhibitor of poly(ADP-ribose) glycohydrolase (PARG; IC50 = 120 nM). Does not affect the activities of either poly(ADP-ribose) polymerase (PARP) or NAD:arginine mono(ADP-ribosyl)-transferase A even at 1 mM concentration. Also acts as an inhibitor of NAD glycohydrolase from Bungarus fasciatus venom at much higher concentrations (IC50 = 260 µM). Note: 1 set = 5 x 60 µg.
Note: 1 set = 5 x 60 µg

Biochem/physiol Actions

Cell permeable: no
Primary Target
PARG
Product does not compete with ATP.
Reversible: no
Target IC50: 120 nM against poly(ADP-ribose) glycohydrolase (PARG)

Packaging

Packaged under inert gas

Preparation Note

Following reconstitution, aliquot and freeze at -20°C. Stock solutions are stable for up to 1 week at -20°C.

Other Notes

Vispe, S., et al. 2000. Proc. Natl. Acad. Sci. USA97, 9886.
Slama, J.T., et al. 1995. J. Med. Chem.38, 389.
Slama, J.T., et al. 1995. J. Med. Chem.38, 4332.

Legal Information

CALBIOCHEM is a registered trademark of Merck KGaA, Darmstadt, Germany

Disclaimer

Toxicity: Standard Handling (A)

Storage Class

11 - Combustible Solids

wgk

WGK 1

flash_point_f

Not applicable

flash_point_c

Not applicable


Certificates of Analysis (COA)

Search for Certificates of Analysis (COA) by entering the products Lot/Batch Number. Lot and Batch Numbers can be found on a product’s label following the words ‘Lot’ or ‘Batch’.

Already Own This Product?

Find documentation for the products that you have recently purchased in the Document Library.

Visit the Document Library

Shiori Kuraoka et al.
Molecular & cellular proteomics : MCP, 100153-100153 (2021-10-01)
Mass spectrometry-enabled ADP-ribosylation workflows are developing rapidly, providing researchers a variety of ADP-ribosylome enrichment strategies and mass spectrometric acquisition options. Despite the growth spurt in upstream technologies, systematic ADP-ribosyl (ADPr) peptide mass spectral annotation methods are lacking. HCD-dependent ADP-ribosylome studies

Our team of scientists has experience in all areas of research including Life Science, Material Science, Chemical Synthesis, Chromatography, Analytical and many others.

Contact Technical Service