Skip to Content
Merck

217277

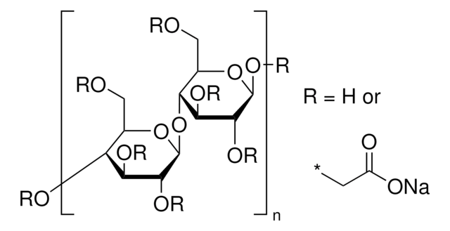
Carboxymethylcellulose, Sodium Salt, Low Viscosity

Substrate for cellulase. Low viscosity (2%, H2O, 25°C): 25 - 75 mPas.

Synonym(s):

Carboxymethylcellulose, Sodium Salt, Low Viscosity

Sign In to View Organizational & Contract Pricing.

Select a Size


About This Item

CAS Number:
UNSPSC Code:
12352201
NACRES:
NA.79
MDL number:
Technical Service
Need help? Our team of experienced scientists is here for you.
Let Us Assist
Technical Service
Need help? Our team of experienced scientists is here for you.
Let Us Assist

SMILES string

[Na].OC(C(O)C(O)C=O)C(O)CO.OC(=O)C

InChI

1S/C6H12O6.C2H4O2.Na/c7-1-3(9)5(11)6(12)4(10)2-8;1-2(3)4;/h1,3-6,8-12H,2H2;1H3,(H,3,4);

InChI key

DPXJVFZANSGRMM-UHFFFAOYSA-N

description

Merck USA index - 14, 1829

form

solid (free-flowing)

manufacturer/tradename

Calbiochem®

storage condition

OK to freeze

color

white to tan

shipped in

ambient

storage temp.

15-25°C

Quality Level

General description

Substrate for cellulase. Viscosity: (2%, H2O, 25°C): 25 - 75 mPas.
Substrate for cellulase. Viscosity: 25-75 mPas at 25°C, 2% in H2O.

Preparation Note

Following reconstitution, store at room temprature. Stock solutions are stable for up to 6 months at room temprature.

Other Notes

Christakopoulos, P., et al. 1999. Arch. Biochem. Biophys. 364, 61.
Blanco, A., et al. 1998. Appl. Microbiol. Biotechnol. 50, 48.

Legal Information

CALBIOCHEM is a registered trademark of Merck KGaA, Darmstadt, Germany

Disclaimer

Toxicity: Standard Handling (A)

Storage Class

11 - Combustible Solids

wgk

WGK 1

flash_point_f

Not applicable

flash_point_c

Not applicable


Certificates of Analysis (COA)

Search for Certificates of Analysis (COA) by entering the products Lot/Batch Number. Lot and Batch Numbers can be found on a product’s label following the words ‘Lot’ or ‘Batch’.

Already Own This Product?

Find documentation for the products that you have recently purchased in the Document Library.

Visit the Document Library

Our team of scientists has experience in all areas of research including Life Science, Material Science, Chemical Synthesis, Chromatography, Analytical and many others.

Contact Technical Service