Skip to Content
Merck

444201

D-(+)-Melezitose monohydrate

A substrate for α-glucosidase.

Synonym(s):

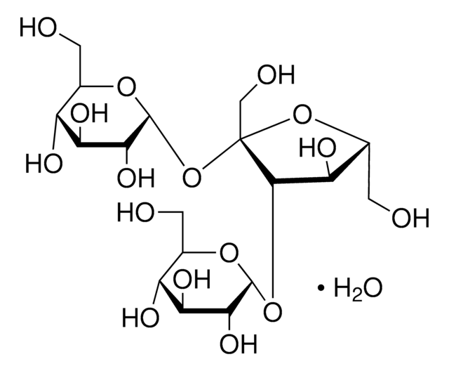
O-α-D-Glucopyranosyl-(1→3)-β-D-fructofuranosyl-α-D-glucopyranoside, GlcαFruβ2,1Glcα, H2O

Sign In to View Organizational & Contract Pricing.

Select a Size


About This Item

Empirical Formula (Hill Notation):
C18H32O16 · H2O
CAS Number:
Molecular Weight:
522.45
NACRES:
NA.79
UNSPSC Code:
12352201
Beilstein/REAXYS Number:
99539
MDL number:
Technical Service
Need help? Our team of experienced scientists is here for you.
Let Us Assist
Technical Service
Need help? Our team of experienced scientists is here for you.
Let Us Assist

Product Name

D-(+)-Melezitose monohydrate, A substrate for α-glucosidase.

SMILES string

O.OC[C@H]1O[C@H](O[C@H]2[C@H](O)[C@@H](CO)O[C@@]2(CO)O[C@H]3O[C@H](CO)[C@@H](O)[C@H](O)[C@H]3O)[C@H](O)[C@@H](O)[C@@H]1O

InChI

1S/C18H32O16.H2O/c19-1-5-8(23)11(26)13(28)16(30-5)32-15-10(25)7(3-21)33-18(15,4-22)34-17-14(29)12(27)9(24)6(2-20)31-17;/h5-17,19-29H,1-4H2;1H2/t5-,6-,7-,8-,9-,10-,11+,12+,13-,14-,15+,16-,17-,18+;/m1./s1

InChI key

CFXAVQUXSYFPDE-ZDVKUAOASA-N

description

Merck USA index - 14, 5819

assay

≥98% (HPLC)

form

solid

manufacturer/tradename

Calbiochem®

storage condition

OK to freeze

color

white

solubility

water: 10 mg/mL

shipped in

ambient

storage temp.

15-25°C

Quality Level

Looking for similar products? Visit Product Comparison Guide

Preparation Note

Following reconstitution, aliquot and freeze (-20°C). Stock solutions are stable for up to 3 months at -20°C.

Legal Information

CALBIOCHEM is a registered trademark of Merck KGaA, Darmstadt, Germany

Disclaimer

Toxicity: Standard Handling (A)

General description

A substrate for α-galactosidase.
A substrate for α-glucosidase.

Other Notes

Tatevossian, A. 1982. Arch. Oral Biol. 27, 39.

Storage Class

11 - Combustible Solids

wgk

WGK 3

flash_point_f

Not applicable

flash_point_c

Not applicable


Certificates of Analysis (COA)

Search for Certificates of Analysis (COA) by entering the products Lot/Batch Number. Lot and Batch Numbers can be found on a product’s label following the words ‘Lot’ or ‘Batch’.

Already Own This Product?

Find documentation for the products that you have recently purchased in the Document Library.

Visit the Document Library

Our team of scientists has experience in all areas of research including Life Science, Material Science, Chemical Synthesis, Chromatography, Analytical and many others.

Contact Technical Service