Skip to Content
Merck

670120

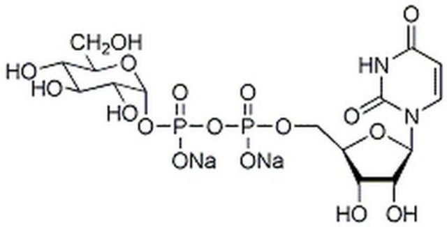
UDP-α-D-Glucose, Disodium Salt

Donor substrate for glucosyltransferases. A key intermediate in the biosynthesis of glycogen.

Synonym(s):

UDP-α-D-Glucose, Disodium Salt, UDPG, Uridine-5ʹ-diphosphoglucose, 2Na, UDP-Glc

Sign In to View Organizational & Contract Pricing.

Select a Size


About This Item

Empirical Formula (Hill Notation):
C15H22N2O17P2 · 2Na
CAS Number:
Molecular Weight:
610.27
MDL number:
UNSPSC Code:
12352201
NACRES:
NA.79
Assay:
≥80% (HPLC)
Form:
solid
Solubility:
water: soluble
Technical Service
Need help? Our team of experienced scientists is here for you.
Let Us Assist
Technical Service
Need help? Our team of experienced scientists is here for you.
Let Us Assist

SMILES string

[Na+].[Na+].[P](=O)([O-])(O[P](=O)([O-])OCC2OC(C(C2O)O)[n]3[c]([nH][c](cc3)=O)=O)OC1OC(C(C(C1O)O)O)CO

InChI

1S/C15H24N2O17P2.2Na/c18-3-5-8(20)10(22)12(24)14(32-5)33-36(28,29)34-35(26,27)30-4-6-9(21)11(23)13(31-6)17-2-1-7(19)16-15(17)25;;/h1-2,5-6,8-14,18,20-24H,3-4H2,(H,26,27)(H,28,29)(H,16,19,25);;/q;2*+1/p-2

InChI key

PKJQEQVCYGYYMM-UHFFFAOYSA-L

description

Merck USA index - 14, 9879

assay

≥80% (HPLC)

form

solid

manufacturer/tradename

Calbiochem®

storage condition

OK to freeze

color

white to off-white

solubility

water: soluble

shipped in

ambient

storage temp.

2-8°C

Quality Level

General description

Donor substrate for glucosyltransferases. A key intermediate in the biosynthesis of glycogen.

Preparation Note

Following reconstitution, aliquot and freeze (-20°C). Stock solutions are stable for up to 6 months at -20°C.

Other Notes

Nuttall, F.Q., et al. 1988. Am. J. Med. 85, 77.

Legal Information

CALBIOCHEM is a registered trademark of Merck KGaA, Darmstadt, Germany

Disclaimer

Toxicity: Standard Handling (A)

Storage Class

11 - Combustible Solids

wgk

WGK 3

flash_point_f

Not applicable

flash_point_c

Not applicable


Certificates of Analysis (COA)

Search for Certificates of Analysis (COA) by entering the products Lot/Batch Number. Lot and Batch Numbers can be found on a product’s label following the words ‘Lot’ or ‘Batch’.

Already Own This Product?

Find documentation for the products that you have recently purchased in the Document Library.

Visit the Document Library

Articles

LC-MS/MS method quantifies similar polar nucleotide activated sugars using Supel™ Carbon LC column for simultaneous analysis.

Our team of scientists has experience in all areas of research including Life Science, Material Science, Chemical Synthesis, Chromatography, Analytical and many others.

Contact Technical Service