Skip to Content
Merck

8.51029

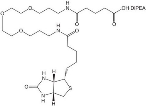
N-Biotinyl-NH-(PEG)2-COOH . DIPEA (20 atoms)

Novabiochem®

Synonym(s):

N-Biotinyl-NH-(PEG)₂-COOH . DIPEA (20 atoms), O-(N-Biotinyl-3-aminopropyl)-O′-(N-glutaryl-3-aminopropyl)-diethyleneglycol · DIPEA

Sign In to View Organizational & Contract Pricing.

Select a Size


About This Item

Empirical Formula (Hill Notation):
C25H44N4O8S · xC8H19N
CAS Number:
Molecular Weight:
560.70
MDL number:
UNSPSC Code:
12352106
NACRES:
NA.22
Technical Service
Need help? Our team of experienced scientists is here for you.
Let Us Assist
Technical Service
Need help? Our team of experienced scientists is here for you.
Let Us Assist

InChI key

YOALVTBRBBZXGM-HZPCBCDKSA-N

InChI

1S/C17H29N3O7S.C8H19N/c21-14(18-5-6-25-7-8-26-9-10-27-17(23)24)4-2-1-3-13-15-12(11-28-13)19-16(22)20-15;1-6-9(7(2)3)8(4)5/h12-13,15H,1-11H2,(H,18,21)(H,23,24)(H2,19,20,22);7-8H,6H2,1-5H3/t12-,13-,15-;/m0./s1

SMILES string

S1[C@H]([C@H]2NC(=O)N[C@H]2C1)CCCCC(=O)NCCOCCOCCOC(=O)O.N(C(C)C)(C(C)C)CC

product line

Novabiochem®

assay

≥95.0% (HPLC), ≥98% (TLC)

form

powder

reaction suitability

reaction type: Biotinylations

manufacturer/tradename

Novabiochem®

mp

131-136 °C

application(s)

peptide synthesis

storage temp.

2-8°C

Quality Level

General description

The use of this novel biotin derivative incorporates a hydrophilic 20 atom PEG spacer between the peptide and biotin. This not only greatly improves the solubility of the resultant peptide, but reduces steric hindrance between the peptide and biotin, leading to better avidin binding and higher biological activity. The biotin-PEG derivative can be easily incorporated using any standard coupling method as the final step in SPPS, immediately prior to cleavage of the peptide from the resin.

Associated Protocols and Technical Articles

Biotinylation Reagents for Peptide Synthesis

Analysis Note

Color (visual): white to slight yellow to beige
Appearance of substance (visual): powder
Identity (IR): passes test
Purity (TLC(CMA2)): ≥ 98 %
Assay (HPLC, area%): ≥ 95.0 % (a/a)
Solubility (50 mg in 1 ml NMP): clearly soluble

To see the solvent systems used for TLC of Novabiochem® products please click here.

Other Notes

Replaces: 01-63-0133

Legal Information

Novabiochem is a registered trademark of Merck KGaA, Darmstadt, Germany

Storage Class

11 - Combustible Solids

wgk

WGK 3

flash_point_f

Not applicable

flash_point_c

Not applicable


Certificates of Analysis (COA)

Search for Certificates of Analysis (COA) by entering the products Lot/Batch Number. Lot and Batch Numbers can be found on a product’s label following the words ‘Lot’ or ‘Batch’.

Already Own This Product?

Find documentation for the products that you have recently purchased in the Document Library.

Visit the Document Library

Articles

Biotin-labelled peptides find applications in immunology and histochemistry for affinity purification and receptor localization.

Our team of scientists has experience in all areas of research including Life Science, Material Science, Chemical Synthesis, Chromatography, Analytical and many others.

Contact Technical Service