Skip to Content
Merck

8.52229

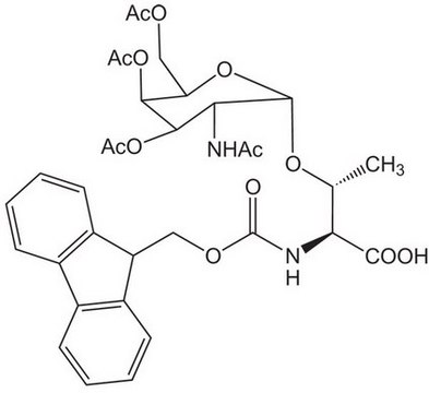
Fmoc-Thr(Ac3AcNH-α-Gal)-OH

Novabiochem®

Synonym(s):

Fmoc-Thr(Ac₃AcNH-α-Gal)-OH, N-α-Fmoc-O-(2-acetamido-2-deoxy-3,4,6-tri-O-acetyl-α-D-galactopyranosyl)-L-threonine

Sign In to View Organizational & Contract Pricing.

Select a Size


About This Item

Empirical Formula (Hill Notation):
C33H38N2O13
CAS Number:
Molecular Weight:
670.66
UNSPSC Code:
12352209
MDL number:
Technical Service
Need help? Our team of experienced scientists is here for you.
Let Us Assist
Technical Service
Need help? Our team of experienced scientists is here for you.
Let Us Assist

Quality Level

product line

Novabiochem®

assay

≥95% (TLC), ≥95.0% (HPLC)

form

powder

reaction suitability

reaction type: Fmoc solid-phase peptide synthesis

manufacturer/tradename

Novabiochem®

application(s)

peptide synthesis

functional group

Fmoc

storage temp.

15-25°C

InChI

1S/C33H38N2O13/c1-16(27(31(40)41)35-33(42)44-14-25-23-12-8-6-10-21(23)22-11-7-9-13-24(22)25)45-32-28(34-17(2)36)30(47-20(5)39)29(46-19(4)38)26(48-32)15-43-18(3)37/h6-13,16,25-30,32H,14-15H2,1-5H3,(H,34,36)(H,35,42)(H,40,41)/t16-,26-,27+,28-,29+,30-,32+/m1/s1

InChI key

OXLCJWGAUPPZQJ-ZNHCDWFHSA-N

General description

The O-glycosidic linkage and the O-acetyl protection in this building block is stable to both piperidine and TFA [1], making it completely compatible with standard protocols in Fmoc solid phase peptide synthesis. Removal of the acetyl protecting groups is best carried out by treatment of the peptidyl resin with methanolic ammonia prior to cleavage.

Associated Protocols and Technical Articles
Cleavage and Deprotection Protocols for Fmoc SPPS
Fmoc SPPS of Peptides containing Post-Translational Modifications

Literature references

[1] J. Kihlberg in ′Fmoc solid phase peptide synthesis: a practical approach′, W.C. Chan & P.D. White (Eds.), Oxford University Press, Oxford, 2000, pp. 195.

Analysis Note

Color (visual): white to slight yellow to beige
Appearance of substance (visual): powder
Identity (IR): passes test
Purity (TLC(CMA2)): ≥ 95 %
Assay (HPLC, area%): ≥ 95.0 % (a/a)
Identity (NMR, 1H): passes test
Identity (NMR): passes test
NMR-spectrum: passes test

To see the solvent systems used for TLC of Novabiochem® products please click here.

Other Notes

Replaces: 04-12-8104

Legal Information

Novabiochem is a registered trademark of Merck KGaA, Darmstadt, Germany

Storage Class

11 - Combustible Solids

wgk

WGK 3

flash_point_f

Not applicable

flash_point_c

Not applicable


Certificates of Analysis (COA)

Search for Certificates of Analysis (COA) by entering the products Lot/Batch Number. Lot and Batch Numbers can be found on a product’s label following the words ‘Lot’ or ‘Batch’.

Already Own This Product?

Find documentation for the products that you have recently purchased in the Document Library.

Visit the Document Library

Protocols

We provide an overview of our available reagents, together with recommendations and details of their use for synthesis of peptides containing post-translationally modified amino acids.

Our team of scientists has experience in all areas of research including Life Science, Material Science, Chemical Synthesis, Chromatography, Analytical and many others.

Contact Technical Service