Select a Size
About This Item
Product Name
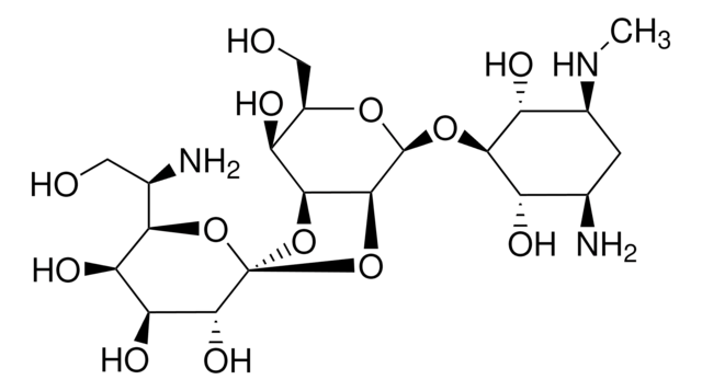
Hygromycin B from Streptomyces hygroscopicus, powder, BioReagent, suitable for cell culture, suitable for insect cell culture
InChI
1S/C20H37N3O13/c1-23-7-2-5(21)9(26)15(10(7)27)33-19-17-16(11(28)8(4-25)32-19)35-20(36-17)18(31)13(30)12(29)14(34-20)6(22)3-24/h5-19,23-31H,2-4,21-22H2,1H3/t5-,6-,7+,8-,9+,10-,11+,12-,13+,14-,15-,16+,17+,18-,19+,20+/m1/s1
InChI key
GRRNUXAQVGOGFE-XKIAHZFYSA-N
SMILES string
CN[C@H]1C[C@@H](N)[C@H](O)[C@@H](O[C@@H]2O[C@H](CO)[C@H](O)[C@@H]3O[C@]4(O[C@H]([C@H](N)CO)[C@H](O)[C@H](O)[C@H]4O)O[C@H]23)[C@@H]1O
biological source
Streptomyces hygroscopicus
product line
BioReagent
form
powder
concentration
≥60% (HPLC)
technique(s)
cell culture | insect: suitable
cell culture | mammalian: suitable
color
faintly brown to brown
white to beige
(1) 7.1, (2) 8.8
mp
160-180 °C
solubility
H2O: 50 mg/mL (As a stock solution. Stock solutions should be stored at 2-8°C. Stable at 37°C for 30 days.)
antibiotic activity spectrum
fungi
mode of action
protein synthesis | interferes
storage temp.
2-8°C
Quality Level
Looking for similar products? Visit Product Comparison Guide
Related Categories
Application
- transfected 293T cells with mixture of plasmids at 160 μg/ml.
- MCF-7ALOX12 cells at 150 μg/ml.
- MSCV Luciferase PGK-hygro plasmid.
- STAT3 Reporter HeLa Stable Cell Line (stably transfected with Luciferase gene under the control of STAT3 promoter) maintained in DMEM supplemented with 10% FBS.
Biochem/physiol Actions
Antimicrobial Spectrum: Hygromycin B acts against bacteria, fungi and higher eukaryotic cells.
Disclaimer
General description
Preparation Note
signalword
Danger
hcodes
Hazard Classifications
Acute Tox. 1 Inhalation - Acute Tox. 2 Dermal - Acute Tox. 2 Oral
Storage Class
6.1A - Combustible acute toxic Cat. 1 and 2 / very toxic hazardous materials
wgk
WGK 3
flash_point_f
Not applicable
flash_point_c
Not applicable
Choose from one of the most recent versions:
Already Own This Product?
Find documentation for the products that you have recently purchased in the Document Library.
Related Content
Our team of scientists has experience in all areas of research including Life Science, Material Science, Chemical Synthesis, Chromatography, Analytical and many others.
Contact Technical Service