Select a Size
About This Item
Product Name
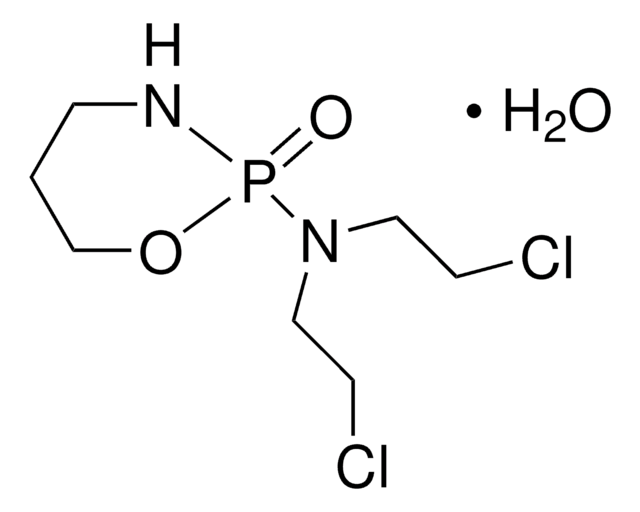
Cyclophosphamide, European Pharmacopoeia (EP) Reference Standard
InChI key
PWOQRKCAHTVFLB-UHFFFAOYSA-N
SMILES string
[H]O[H].ClCCN(CCCl)P1(=O)NCCCO1
InChI
1S/C7H15Cl2N2O2P.H2O/c8-2-5-11(6-3-9)14(12)10-4-1-7-13-14;/h1-7H2,(H,10,12);1H2
grade
pharmaceutical primary standard
API family
cyclophosphamide
manufacturer/tradename
EDQM
mp
49-51 °C (lit.)
application(s)
pharmaceutical (small molecule)
format
neat
storage temp.
2-8°C
Looking for similar products? Visit Product Comparison Guide
Application
Biochem/physiol Actions
General description
Other Notes
Packaging
signalword
Danger
hcodes
Hazard Classifications
Acute Tox. 3 Oral - Carc. 1B - Muta. 1B - Repr. 1A
Storage Class
6.1C - Combustible acute toxic Cat.3 / toxic compounds or compounds which causing chronic effects
wgk
WGK 3
Choose from one of the most recent versions:
Already Own This Product?
Find documentation for the products that you have recently purchased in the Document Library.
Our team of scientists has experience in all areas of research including Life Science, Material Science, Chemical Synthesis, Chromatography, Analytical and many others.
Contact Technical Service
