Skip to Content
Merck

N6639

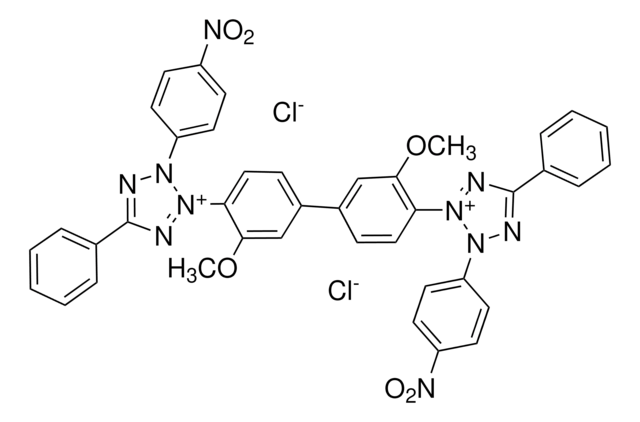
Nitrotetrazolium Blue chloride

powder, electrophoresis grade

Synonym(s):

2,2′-bis(4-Nitrophenyl)-5,5′-diphenyl-3,3′-(3,3′-dimethoxy-4,4′-diphenylene)ditetrazolium chloride, 3,3′-(3,3′-Dimethoxy-4,4′-biphenylene)bis[2-(4-nitrophenyl)-5-phenyl-2H-tetrazolium chloride], p-Nitro-Blue tetrazolium chloride, p-Nitrotetrazolium blue, NBT, Nitro BT

Sign In to View Organizational & Contract Pricing.

Select a Size



About This Item

Linear Formula:
C40H30N10O6 · 2Cl
CAS Number:
Molecular Weight:
817.64
UNSPSC Code:
12171500
NACRES:
NA.52
PubChem Substance ID:
EC Number:
206-067-4
Beilstein/REAXYS Number:
4115923
MDL number:

Product Name

Nitrotetrazolium Blue chloride, powder, electrophoresis grade

InChI key

FSVCQIDHPKZJSO-UHFFFAOYSA-L

InChI

1S/C40H30N10O6.2ClH/c1-55-37-25-29(13-23-35(37)47-43-39(27-9-5-3-6-10-27)41-45(47)31-15-19-33(20-16-31)49(51)52)30-14-24-36(38(26-30)56-2)48-44-40(28-11-7-4-8-12-28)42-46(48)32-17-21-34(22-18-32)50(53)54;;/h3-26H,1-2H3;2*1H/q+2;;/p-2

SMILES string

[Cl-].[Cl-].COc1cc(ccc1-[n+]2nc(nn2-c3ccc(cc3)[N+]([O-])=O)-c4ccccc4)-c5ccc(c(OC)c5)-[n+]6nc(nn6-c7ccc(cc7)[N+]([O-])=O)-c8ccccc8

grade

electrophoresis grade

assay

>90%

form

powder

technique(s)

electrophoresis: suitable

solubility

H2O: 10 mg/mL (A stock solution at 10mg/ml in water is stable for 1-2 weeks in the dark at 0-4°C.)
2-methoxyethanol: 20 mg/mL
ethanol: 5 mg/mL

storage temp.

2-8°C

Quality Level

Looking for similar products? Visit Product Comparison Guide

Application

Nitrotetrazolium Blue chloride has been used:
  • to determine the superoxide anion in skeletal muscle cells
  • as a component in Tris-HCl buffered saline for nicotinamide adenine dinucleotide phosphate (NADPH)-diaphorase histochemistry of brain sections
  • as a chromogenic substrate to study the histochemical detection of hydrogen peroxide (H2O2) and superoxide (O2- ) anion in Brassica juncea seedlings
  • as a component in Triton X-100 solution to perform staining of coronal brain sections

Biochem/physiol Actions

Nitrotetrazolium Blue chloride (NBT) has also been used as a colorimetric indicator of bacterial infection in blood samples. NBT has also been used as a redox indicator for other enzymatic reactions. NBT produces a dark blue insoluble formazan compound while reacting with O2.

General description

Nitrotetrazolium Blue chloride (NBT) is a dye that is used for detection of alkaline phosphatase in combination with 5-bromo-4-chloro-3-indoxyl phosphate (BCIP).

pictograms

Exclamation mark

signalword

Warning

Hazard Classifications

Acute Tox. 4 Oral - Eye Irrit. 2 - Skin Irrit. 2 - STOT SE 3

target_organs

Respiratory system

Storage Class

11 - Combustible Solids

wgk

WGK 3

flash_point_f

Not applicable

flash_point_c

Not applicable

ppe

Eyeshields, Gloves, type N95 (US)


Choose from one of the most recent versions:

Certificates of Analysis (COA)

Lot/Batch Number

Don't see the Right Version?

If you require a particular version, you can look up a specific certificate by the Lot or Batch number.

Already Own This Product?

Find documentation for the products that you have recently purchased in the Document Library.

Visit the Document Library

Low Intensity Exercise Training Improves Skeletal Muscle Regeneration Potential
Pietrangelo T, et al.
Frontiers in Physiology, 6 (2015)
Ontogenesis of NADPH-diaphorase positive neurons in guinea pig neocortex
Liu C, et al.
Frontiers in Neuroanatomy, 9 (2015)
Histochemical detection of superoxide and H2O2 accumulation in Brassica juncea seedlings
Kumar D, et al.
Bio-protocol, 4(8), e1108-e1108 (2014)
The systemDrive: a Multisite, Multiregion Microdrive with Independent Drive Axis Angling for Chronic Multimodal Systems Neuroscience Recordings in Freely Behaving Animals
Billard MW, et al.
eNeuro, 5(6) (2018)
Chihiro Ebihara et al.
Human molecular genetics, 24(15), 4238-4249 (2015-05-03)
Seipin, encoded by BSCL2 gene, is a protein whose physiological functions remain unclear. Mutations of BSCL2 cause the most-severe form of congenital generalized lipodystrophy (CGL). BSCL2 mRNA is highly expressed in the brain and testis in addition to the adipose

Our team of scientists has experience in all areas of research including Life Science, Material Science, Chemical Synthesis, Chromatography, Analytical and many others.

Contact Technical Service