Select a Size
About This Item
Product Name
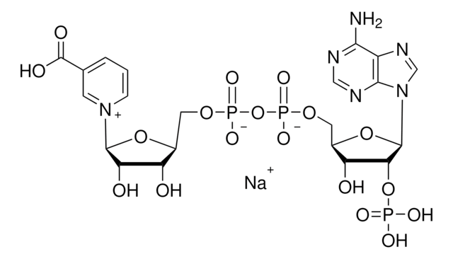
Nicotinic acid adenine dinucleotide phosphate sodium salt, ≥92.5%
SMILES string
[Na+].Nc1ncnc2n(cnc12)[C@@H]3O[C@H](COP([O-])(=O)OP([O-])(=O)OCC4O[C@@H]([C@@H](O)[C@H]4O)[n+]5cccc(c5)C(O)=O)[C@@H](O)[C@H]3OP(O)(O)=O
InChI
1S/C21H27N6O18P3.Na/c22-17-12-18(24-7-23-17)27(8-25-12)20-16(44-46(33,34)35)14(29)11(43-20)6-41-48(38,39)45-47(36,37)40-5-10-13(28)15(30)19(42-10)26-3-1-2-9(4-26)21(31)32;/h1-4,7-8,10-11,13-16,19-20,28-30H,5-6H2,(H6-,22,23,24,31,32,33,34,35,36,37,38,39);/q;+1/p-1/t10?,11-,13+,14-,15+,16-,19+,20-;/m1./s1
InChI key
KKCRODBDXQTAPI-NZNNTXIPSA-M
assay
≥92.5%
form
solid
storage temp.
−20°C
Quality Level
Application
Biochem/physiol Actions
General description
Other Notes
Preparation Note
signalword
Warning
hcodes
Hazard Classifications
Eye Irrit. 2 - Skin Irrit. 2 - STOT SE 3
target_organs
Respiratory system
Storage Class
11 - Combustible Solids
wgk
WGK 3
ppe
dust mask type N95 (US), Eyeshields, Gloves
Choose from one of the most recent versions:
Already Own This Product?
Find documentation for the products that you have recently purchased in the Document Library.
Related Content
Product Information Sheet
Our team of scientists has experience in all areas of research including Life Science, Material Science, Chemical Synthesis, Chromatography, Analytical and many others.
Contact Technical Service