Select a Size
About This Item
Product Name
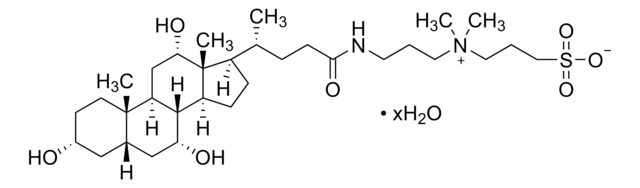
3-[(3-Cholamidopropyl)dimethylammonio]-1-propanesulfonate hydrate, 98%
InChI
1S/C32H58N2O7S.H2O/c1-21(8-11-29(38)33-14-6-15-34(4,5)16-7-17-42(39,40)41)24-9-10-25-30-26(20-28(37)32(24,25)3)31(2)13-12-23(35)18-22(31)19-27(30)36;/h21-28,30,35-37H,6-20H2,1-5H3,(H-,33,38,39,40,41);1H2/t21-,22+,23-,24-,25+,26+,27-,28+,30+,31+,32-;/m1./s1
SMILES string
O.C[C@H](CCC(=O)NCCC[N+](C)(C)CCCS([O-])(=O)=O)[C@H]1CC[C@H]2[C@@H]3[C@H](O)C[C@@H]4C[C@H](O)CC[C@]4(C)[C@H]3C[C@H](O)[C@]12C
InChI key
SJCUTFKCLFLIFE-JWTJKVBLSA-N
description
zwitterionic
assay
98%
mol wt
614.88 g/mol (anhydrous basis)
technique(s)
ion chromatography: suitable
protein quantification: suitable
mp
157 °C (dec.) (lit.)
functional group
amide
amine
hydroxyl
sulfonic acid
Quality Level
Looking for similar products? Visit Product Comparison Guide
Related Categories
Application
General description
signalword
Danger
hcodes
Hazard Classifications
Acute Tox. 4 Oral - Repr. 1B
Storage Class
6.1C - Combustible acute toxic Cat.3 / toxic compounds or compounds which causing chronic effects
wgk
WGK 3
flash_point_f
Not applicable
flash_point_c
Not applicable
Choose from one of the most recent versions:
Already Own This Product?
Find documentation for the products that you have recently purchased in the Document Library.
Our team of scientists has experience in all areas of research including Life Science, Material Science, Chemical Synthesis, Chromatography, Analytical and many others.
Contact Technical Service
