Skip to Content
Merck

H3281

Hematin porcine

Synonym(s):

Ferrihemate, Hematin porcine

Sign In to View Organizational & Contract Pricing.

Select a Size


About This Item

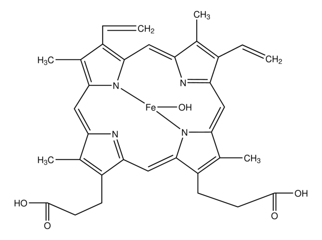
Linear Formula:
C34H33N4O5Fe
CAS Number:
Molecular Weight:
633.49
NACRES:
NA.61
PubChem Substance ID:
UNSPSC Code:
12352202
EC Number:
239-518-9
MDL number:
Form:
powder
Biological source:
Porcine
Technical Service
Need help? Our team of experienced scientists is here for you.
Let Us Assist
Technical Service
Need help? Our team of experienced scientists is here for you.
Let Us Assist

InChI

1S/C34H34N4O4.Fe.H2O/c1-7-21-17(3)25-13-26-19(5)23(9-11-33(39)40)31(37-26)16-32-24(10-12-34(41)42)20(6)28(38-32)15-30-22(8-2)18(4)27(36-30)14-29(21)35-25;;/h7-8,13-16H,1-2,9-12H2,3-6H3,(H4,35,36,37,38,39,40,41,42);;1H2/q;+3;/p-3/b25-13-,26-13-,27-14-,28-15-,29-14-,30-15-,31-16-,32-16-;;

InChI key

BMUDPLZKKRQECS-HXFTUNQESA-K

SMILES string

Cc1c(CCC(O)=O)c2cc3c(CCC(O)=O)c(C)c4cc5nc(cc6c(C=C)c(C)c(cc1n2)n6[Fe](O)n34)c(C)c5C=C

biological source

Porcine

form

powder

storage temp.

2-8°C

Quality Level

Gene Information

Looking for similar products? Visit Product Comparison Guide

Application

Hematin porcine has been used as a:
  • polymerase chain reaction (PCR) inhibitor to evaluate its effect on the PowerQuant System used for detecting degraded DNA in samples
  • supplement in Haemophilus test medium to culture Haemophilus influenzae isolates for resistance studies
  • standard to determine the heme coefficient as a part of heme iron analysis using raw beef lung

Hematin was used in a study to test in vitro activities of the Rx-01 oxazolidinones against hospital and community pathogens. It was also used in a study to test in-vitro bacterial identification using fluorescence spectroscopy with an optical fiber system.

Biochem/physiol Actions

Hematin is a hydroxide of heme. It may be used to treat acute porphyric attacks. Hematin suppresses the hepatic aminolevulinic acid (ALA) function and replenishes cytochrome action by restoring the endogenous heme deficit. Early administration of hematin can prevent irreversible neuronal damage induced due to metabolic disorders.

Storage Class

11 - Combustible Solids

wgk

WGK 3

flash_point_f

Not applicable

flash_point_c

Not applicable

ppe

Eyeshields, Gloves, type N95 (US)


Choose from one of the most recent versions:

Certificates of Analysis (COA)

Lot/Batch Number

Don't see the Right Version?

If you require a particular version, you can look up a specific certificate by the Lot or Batch number.

Already Own This Product?

Find documentation for the products that you have recently purchased in the Document Library.

Visit the Document Library

Muriel Vayssier-Taussat et al.
PLoS pathogens, 6(6), e1000946-e1000946 (2010-06-16)
Bacterial pathogens typically infect only a limited range of hosts; however, the genetic mechanisms governing host-specificity are poorly understood. The alpha-proteobacterial genus Bartonella comprises 21 species that cause host-specific intraerythrocytic bacteremia as hallmark of infection in their respective mammalian reservoirs
Peter Bergman et al.
PloS one, 6(8), e24394-e24394 (2011-09-14)
Statin treatment has been associated with a beneficial outcome on respiratory tract infections. In addition, previous in vitro and in vivo experiments have indicated favorable effects of statins in bacterial infections. The aim of the present study was to elucidate
Brianna Atto et al.
Pathogens (Basel, Switzerland), 9(4) (2020-03-29)
Nontypeable Haemophilus influenzae (NTHi) is a leading causative organism of opportunistic respiratory tract infections. However, there are currently no effective vaccination strategies, and existing treatments are compromised by antibiotic resistance. We previously characterized Haemophilus haemolyticus (Hh) strains capable of producing
Effect of drying temperature on nutritional, functional and pasting propertiesand storage stability of beef lung powder, a prospective protein ingredient for food supplements
Jayawardena S, et al.
LWT--Food Science and Technology, 113315-113315 (2022)
Disorders of Peripheral Nerves
Katirji B
Bradley and Daroff's Neurology in Clinical Practice, 1853-1929 (2022)

Our team of scientists has experience in all areas of research including Life Science, Material Science, Chemical Synthesis, Chromatography, Analytical and many others.

Contact Technical Service