Skip to Content
Merck

H7509

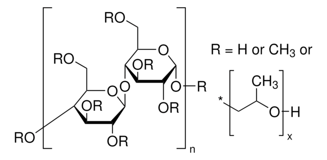
(Hydroxypropyl)methyl cellulose

viscosity 2,600-5,600 cP, 2 % in H2O(20 °C)(lit.)

Synonym(s):

2-Hydroxypropyl methyl cellulose ether

Sign In to View Organizational & Contract Pricing.

Select a Size


About This Item

CAS Number:
UNSPSC Code:
12352201
NACRES:
NA.25
MDL number:
Technical Service
Need help? Our team of experienced scientists is here for you.
Let Us Assist
Technical Service
Need help? Our team of experienced scientists is here for you.
Let Us Assist

Product Name

(Hydroxypropyl)methyl cellulose, viscosity 2,600-5,600 cP, 2 % in H2O(20 °C)(lit.)

SMILES string

O3[C@H]([C@@H]([C@H]([C@@H]([C@H]3COCC(O)C)OCC(O)C)OCC(O)C)OCC(O)C)O[C@@H]4[C@H](O[C@H]([C@@H]([C@H]4OCC(O)C)OCC(O)C)OCC(O)C)COCC(O)C.O1[C@H]([C@@H]([C@H]([C@@H]([C@H]1COC)OC)OC)OC)O[C@@H]2[C@H](O[C@H]([C@@H]([C@H]2OC)OC)OC)COC

InChI

1S/C36H70O19.C20H38O11/c1-19(37)9-45-17-27-29(47-11-21(3)39)31(48-12-22(4)40)34(51-15-25(7)43)36(54-27)55-30-28(18-46-10-20(2)38)53-35(52-16-26(8)44)33(50-14-24(6)42)32(30)49-13-23(5)41;1-21-9-11-13(23-3)15(24-4)18(27-7)20(30-11)31-14-12(10-22-2)29-19(28-

InChI key

PUSNGFYSTWMJSK-GSZQVNRLSA-N

biological source

plant

form

powder

mol wt

~86 kDa

color

white to off-white

viscosity

2,600-5,600 cP, 2 % in H2O(20 °C)(lit.)

solubility

water: 10 mg/mL, clear to very slightly hazy, colorless

storage temp.

room temp

Quality Level

Looking for similar products? Visit Product Comparison Guide

Application

(Hydroxypropyl)methyl cellulose (HPMC) has been used:
  • as a viscosity modifier in the preparation of printable ink
  • as a viscosifier in the preparation of hydroxyapatite (HAP) suspension
  • in the preparation of HPMC gels and composite gels

Thickener for aqueous and non-aqueous systems, clear films with grease resistance, binders, lubricants, steric stabilizer and water retention aid.

Biochem/physiol Actions

(Hydroxypropyl)methylcelluloses (HPMCs) act as suspension aids, surfactants, lubricants, protective colloids, and emulsifiers. Additionally, solutions of these polymers show thermal gelation properties. They are generally used as binders, thickeners, film formers, and water retention agents. HPMC also elicits surface-active properties.

Features and Benefits

Dissolves in water, undergoes reversible gelation upon heating, non-ionic, does not complex with ionic species and is surface active and enzyme resistant. Solutions are pseudoplastic.

General description

(Hydroxypropyl)methylcellulose (HPMC) is a water-soluble polymer derived from cellulose. This polysaccharide forms colloids when dissolved in water. HPMC is a hydrocolloid produced artificially from natural substances. It consists of 28-30% methoxyl content and 7-12% of hydroxypropoxyl content.

Other Notes

To gain a comprehensive understanding of our extensive range of Polysaccharides for your research, we encourage you to visit our Carbohydrates Category page.

Storage Class

11 - Combustible Solids

wgk

WGK 1

flash_point_f

Not applicable

flash_point_c

Not applicable

ppe

Eyeshields, Gloves, type N95 (US)


Choose from one of the most recent versions:

Certificates of Analysis (COA)

Lot/Batch Number

Don't see the Right Version?

If you require a particular version, you can look up a specific certificate by the Lot or Batch number.

Already Own This Product?

Find documentation for the products that you have recently purchased in the Document Library.

Visit the Document Library

Alexandre Goyon et al.
Electrophoresis, 39(16), 2083-2090 (2018-05-19)
The determination of mAb critical quality attributes (CQA) is crucial for their successful application in health diseases. A generic CZE method was developed for the high-resolution separation of various mAb charge variants, which are often recognized as important CQA. A
Bernd Moritz et al.
Electrophoresis, 38(24), 3136-3146 (2017-09-10)
CZE is a well-established technique for charge heterogeneity testing of biopharmaceuticals. It is based on the differences between the ratios of net charge and hydrodynamic radius. In an extensive intercompany study, it was recently shown that CZE is very robust
Jenny Högström et al.
Cancer research, 78(20), 5820-5832 (2018-08-30)
The homeobox transcription factor PROX1 is induced by high Wnt/β-catenin activity in intestinal adenomas and colorectal cancer, where it promotes tumor progression. Here we report that in LGR5+ colorectal cancer cells, PROX1 suppresses the Notch pathway, which is essential for
Mylène Tajan et al.
Nature communications, 12(1), 366-366 (2021-01-16)
Many tumour cells show dependence on exogenous serine and dietary serine and glycine starvation can inhibit the growth of these cancers and extend survival in mice. However, numerous mechanisms promote resistance to this therapeutic approach, including enhanced expression of the de
Fernando Andrés et al.
Proceedings of the National Academy of Sciences of the United States of America, 111(26), E2760-E2769 (2014-07-01)
In Arabidopsis thaliana environmental and endogenous cues promote flowering by activating expression of a small number of integrator genes. The MADS box transcription factor SHORT VEGETATIVE PHASE (SVP) is a critical inhibitor of flowering that directly represses transcription of these

Articles

Explore how carbohydrates function as excipients and carriers in drug delivery, with insights into mechanisms, case studies, and future trends.

Discover the role of carbohydrates in drug delivery, from solubility and stability improvement to advanced controlled-release systems.

Related Content

Product Information Sheet

Our team of scientists has experience in all areas of research including Life Science, Material Science, Chemical Synthesis, Chromatography, Analytical and many others.

Contact Technical Service