Skip to Content
Merck

P7568

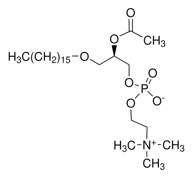
β-Acetyl-γ-O-alkyl-L-α-phosphatidylcholine from bovine heart lecithin

≥99%, lyophilized powder

Synonym(s):

1-O-Alkyl-2-acetyl-sn-glycero-3-phosphocholine, 2-Acetyl-1-alkyl-sn-glycero-3-phosphocholine, AcGEPC, PAF, Platelet activating factor

Sign In to View Organizational & Contract Pricing.

Select a Size


About This Item

CAS Number:
UNSPSC Code:
12352211
NACRES:
NA.77
PubChem Substance ID:
MDL number:
Beilstein/REAXYS Number:
4220745
Assay:
≥99%
Form:
lyophilized powder
Quality level:
Technical Service
Need help? Our team of experienced scientists is here for you.
Let Us Assist
Technical Service
Need help? Our team of experienced scientists is here for you.
Let Us Assist

InChI

1S/C26H54NO7P/c1-6-7-8-9-10-11-12-13-14-15-16-17-18-19-21-31-23-26(34-25(2)28)24-33-35(29,30)32-22-20-27(3,4)5/h26H,6-24H2,1-5H3/t26-/m1/s1

SMILES string

[O-]P(OCC[N+](C)(C)C)(OC[C@]([H])(OC(C)=O)COCCCCCCCCCCCCCCCC)=O

InChI key

HVAUUPRFYPCOCA-AREMUKBSSA-N

assay

≥99%

form

lyophilized powder

storage temp.

−20°C

Quality Level

Biochem/physiol Actions

Phospholipid produced by lymphocytes, platelets and endothelial cells that induces platelet aggregation and is involved in inflammation, anaphylaxis and wound repair.

Packaging

Packaged under argon.

Storage Class

11 - Combustible Solids

wgk

WGK 3

flash_point_f

Not applicable

flash_point_c

Not applicable

ppe

Eyeshields, Gloves, type N95 (US)


Choose from one of the most recent versions:

Certificates of Analysis (COA)

Lot/Batch Number

Don't see the Right Version?

If you require a particular version, you can look up a specific certificate by the Lot or Batch number.

Already Own This Product?

Find documentation for the products that you have recently purchased in the Document Library.

Visit the Document Library

F Bussolino et al.
Cell calcium, 5(5), 463-473 (1984-10-01)
Platelet-activating factor (1-0-alkyl-2-acetyl-sn-glyceryl-3-phosphorylcholine, PAF) is a potent inducer of shape-change, aggregation and secretion in platelets. PAF causes a rapid increase in intracellular calcium, but has no calcium gating effect in intact lipid bilayers. Human red cells (RBC) did not metabolize
Julie R Jin et al.
Frontiers in immunology, 11, 585070-585070 (2020-11-17)
Mast cells are the major effector cells in immunoglobulin E (IgE)-mediated allergy. The high affinity IgE receptor FcεRI, as well as G protein-coupled receptors (GPCRs) on the mast cell surface signals to phosphoinositide 3-kinase γ (PI3Kγ) to initiate degranulation, cytokine
Stephanie Saul et al.
Journal of leukocyte biology, 106(5), 1101-1115 (2019-06-20)
Neutrophils play a central role in immunity and inflammation via their intrinsic ability to migrate into inflamed tissue, to phagocytose pathogens, and to kill bacterial and fungi by releasing large quantities of superoxide anions and lytic enzymes. The molecular pathways

Our team of scientists has experience in all areas of research including Life Science, Material Science, Chemical Synthesis, Chromatography, Analytical and many others.

Contact Technical Service