Accéder au contenu
Merck

D8764

Deoxyribonuclease II from bovine spleen

Type V, essentially salt-free, lyophilized powder, ≥1,000 units/mg protein

Synonyme(s) :

DNase II, Deoxyribonucleate 3′-oligonucleotido-hydrolase

Se connecter pour consulter les tarifs organisationnels et contractuels.

Sélectionner une taille de conditionnement


A propos de cet article

Numéro CAS:
UNSPSC Code:
12352204
NACRES:
NA.54
EC Number:
232-801-8
MDL number:
Numéro CE :
Service technique
Besoin d'aide ? Notre équipe de scientifiques expérimentés est là pour vous.
Laissez-nous vous aider
Service technique
Besoin d'aide ? Notre équipe de scientifiques expérimentés est là pour vous.
Laissez-nous vous aider

Nom du produit

Deoxyribonuclease II from bovine spleen, Type V, essentially salt-free, lyophilized powder, ≥1,000 units/mg protein

biological source

bovine spleen

type

Type V

form

essentially salt-free, lyophilized powder

specific activity

≥1,000 units/mg protein

mol wt

38 kDa

concentration

≥50% protein

technique(s)

DNA extraction: suitable
tissue culture: suitable

suitability

suitable for molecular biology

application(s)

cell analysis

foreign activity

RNase ≤0.1%

storage temp.

−20°C

Quality Level

Vous recherchez des produits similaires ? Visite Guide de comparaison des produits

Application

Deoxyribonuclease II from bovine spleen has been used:
  • as a component of digestion mix to isolate immune cells from colon samples
  • to digest retinal explants for single-cell suspension preparation
  • for isolation of stromal cells from human colon tissue
  • in the dissociation medium during the preparation of embryonic cardiac myocytes from rat heart

Biochem/physiol Actions

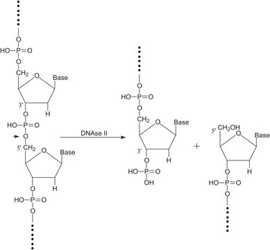
Deoxyribonuclease II, also called as acid DNAse, hydrolyzes deoxyribonucleotide linkages in native and denatured DNA yielding products with 3′-phosphates. in vitro, its optimum pH range is 4.5 - 5.0. It also acts upon p-nitrophenyl-phosphodiesters at pH 5.6 - 5.9. The molecular weight is approximately 38,000 Da.

Other Notes

One Kunitz unit will produce a ΔA260 of 0.001 per min per mL at pH 4.6 at 25 °C; [Mg2+] = 0.83 mM

Classe de stockage

11 - Combustible Solids

wgk

WGK 3

flash_point_f

Not applicable

flash_point_c

Not applicable


Faites votre choix parmi les versions les plus récentes :

Certificats d'analyse (COA)

Lot/Batch Number

Vous ne trouvez pas la bonne version ?

Si vous avez besoin d'une version particulière, vous pouvez rechercher un certificat spécifique par le numéro de lot.

Déjà en possession de ce produit ?

Retrouvez la documentation relative aux produits que vous avez récemment achetés dans la Bibliothèque de documents.

Consulter la Bibliothèque de documents

K Nitta et al.
Yakugaku zasshi : Journal of the Pharmaceutical Society of Japan, 114(2), 119-128 (1994-02-01)
Deoxyribonucleases from eggs and the liver of Xenopus laevis were partially purified by DEAE-cellulose and heparin-Sepharose affinity column chromatographies. The fractions having egg and liver DNase activities were eluted on high performance liquid chromatography through TSK gel G3000SW at the
Dopamine D2 receptor stimulation differentially affects voltage-activated calcium channels in rat pituitary melanotropic cells.
Keja J A, et al.
The Journal of Physiology, 450(1), 409-435 (1992)
S Ingebrandt et al.
Biosensors & bioelectronics, 16(7-8), 565-570 (2001-09-07)
An extracellular recording system has been designed for the detection of electrical cell signals using p-channel or n-channel field-effect transistor (FET) arrays with non-metallized gates. Signals from rat heart muscle cell were recorded by these devices and the results described
K Tempel
Arzneimittel-Forschung, 30(7), 1119-1123 (1980-01-01)
The influence of three mucopolysaccharide-polysulfuric acid-esters (MPS) of different molecular weight on DNAase II-activity as well as on nucleic acid and protein synthesis of lymphocytes of rat spleen has been investigated in vitro. The results are summarized as follows: 1.
STUDIES ON ACID DEOXYRIBONUCLEASE. II. ISOLATION AND CHARACTERIZATION OF SPLEEN-ACID DEOXYRIBONUCLEASE.
G BERNARDI et al.
Biochemistry, 3, 1419-1426 (1964-10-01)

Contenu apparenté

Notre équipe de scientifiques dispose d'une expérience dans tous les secteurs de la recherche, notamment en sciences de la vie, science des matériaux, synthèse chimique, chromatographie, analyse et dans de nombreux autres domaines..

Contacter notre Service technique